Jumat, 24 Januari 2014

Limit Fungsi f(x) untuk x --> a, a tidak sama dengan 0


,
Perhitungan limit fungsi f(x) untuk x → a, a ≠ 0 atau ditulis:
 Lim x--a, dapat dilakukan melalui tiga cara, yaitu substitusi langsung, pemfaktoran dan rasionalisasi bentuk akar. Jika dengan substitusi langsung dihasilkan bentuk tak tentu :
lim tak tentu

maka perhitungan limit dilakukan dengan cara pemfaktoran atau rasionalisasi bentuk akar.


Contoh Soal dan Pembahasan

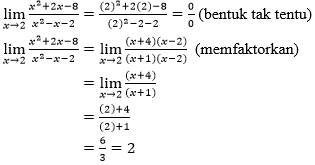
  1. Nilai dari
    Soal 1
    Pembahasan:
     Pemabahasan 1
  2. Nilai dari
     Soal 2
    Pembahasan
     Pemabahasan 2
  3. Nilai dari
    Soal 3
    Pembahasan
    Pemabahasan 3
Baca juga:

Kak Hady Berbagi

1. Terima kasih telah berkunjung dan membaca artikel ini

Judul : Limit Fungsi f(x) untuk x --> a, a tidak sama dengan 0
URL :
Diposkan oleh : Kang Hady
Pada : Jumat, 24 Januari 2014.
Pukul : 07:10
Label/kategori : ,
Bagikan ke : Facebook | Google+ | Twitter | Digg

2. Saya mengharapkan kritik dan saran dari pembaca semua. Untuk itu silakan berkomentar pada setiap postingan blog ini;
3. Setiap komentar yang anda berikan adalah masukan bagi saya agar blog ini lebih baik.

2 komentar:

  1. Do you understand there's a 12 word sentence you can speak to your man... that will induce deep feelings of love and impulsive attractiveness for you deep within his heart?

    That's because hidden in these 12 words is a "secret signal" that fuels a man's instinct to love, please and look after you with his entire heart...

    12 Words That Fuel A Man's Love Instinct

    This instinct is so hardwired into a man's brain that it will drive him to work better than ever before to make your relationship the best part of both of your lives.

    Matter-of-fact, fueling this influential instinct is absolutely important to having the best possible relationship with your man that the second you send your man one of the "Secret Signals"...

    ...You will immediately notice him open his mind and heart for you in a way he's never experienced before and he will see you as the one and only woman in the galaxy who has ever truly tempted him.

    BalasHapus

Posting Lebih Baru Posting Lama Beranda